Lompat ke konten Lompat ke sidebar Lompat ke footer

Contoh Soal Ushul Fiqih Kelas 10

Contoh Soal Ushul Fiqih Kelas 10. Bab 1 konsep fikih dan ibadah dalam islam. Kumpulan soal uts semester 1 ganjil kelas xii lengkap.

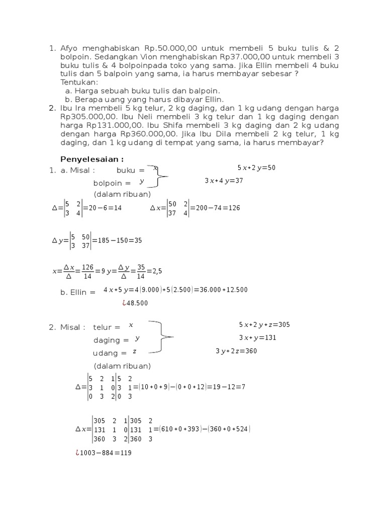
Contoh Latihan Soal Soal Matematika Spldv Kelas 10
Contoh Latihan Soal Soal Matematika Spldv Kelas 10 from soal-soal-kelas.blogspot.com

Cerita sejarah peristiwa 10 november. Contoh soal ulangan fiqih kelas x aliyah materi pengurusan jenazah dan hikmahnya. Soal latihan uas pas ushul fiqih kelas 10 ma semester 1 ini sebagai bahan latihan untuk kalian mempersiapkan diri dalam mengahadapi pas/uas tersebut.

Istilah Fikih Berasal Dari Kata Fiqhun Yang Secara Bahasa Berarti.


Soal uji kompetensi sejarah kelas x semester 1 tulisan ini merupakan lanjutan contoh soal sejarah kelas 10 semester 1 dan kunci jawabannya pilihan ganda bagian ke 4 soal nomor 31 40. Dibagikan dalam format online dan berkas pdf untuk melengkapi bahan pembuatan naskah ujian penilaian akhir semester tahun pelajaran 2021/2022 di satuan pendidikan madrasah aliyah. Yapps, langsung saja berikut ini adalah 100 latihan soal pat fikih kelas 10 ma 2021 k13 dan jawaban.

Wadaw Banyak Yang Salah Ni Kuncinya.


Berilah tanda silang (x) pada jawaban yang paling tepat ! Penilaian akhir tahun dilakukan satuan pendidikan untuk proses pengumpulan dan pengolahan informasi untuk mengukur pencapaian hasil belajar. 05 jul 2020, 15:11:32 wib;

Doc Soal Fiqih Vii Semester Genap Pondok Pesantren Binaul Muhajirin Academia Edu From Wwwacademiaedu.


Silahkan simak di bawah ini: Ushul fiqih buku siswa keas xi. Asal mula sungai lembu peteng tulungagung.

Cuplikan Soal Uas Semester 1 Kelas Xii Mapel Fiqih :


Contoh soal pas ushul fikih kelas 11 ma semester 1 disertai jawaban terbaru. Contoh soal ulangan fiqih kelas x aliyah materi pengurusan jenazah dan hikmahnya. Berilah tanda silang (x) pada jawaban yang paling tepat !

Sumber Air Yang Digunakan Untuk Minum.


Ditulis oleh harian madrasah oktober 30, 2020. Demikianlah contoh soal uts / ulangan tengah semester 1 (ganjil) kelas. 40 kaidah ushul fiqih beserta contoh contohnya mgmp madrasah kunci jawaban soal fiqih kelas 10 dunia sekolah download kisi kisi uambn untuk ma tahun 2019 simadrasah buku paket ushul fikih kelas xii guru pdf.

Posting Komentar untuk "Contoh Soal Ushul Fiqih Kelas 10"